![]()
| Related Topics: | ||
Description: Returns the hypergeometric distribution. HYPGEOMDIST returns the probability of a given number of sample successes, given the sample size, population successes and population size.
Syntax: HYPGEOMDIST(Sample_S,Number_Sample,Population_S,Number_Population)
Sample_S is the number of successes in the sample.
Number_Sample is the size of the sample.
Population_S is the number of successes in the population.
Number_Population is the population size.
Remarks:
All arguments are truncated to integers.
Arguments must be numeric.
Sample_S must be => 0 and <= the lesser of Number_Sample or Population_S.
Sample_S must be => the larger of 0 or (Number_Sample - Number_Population + Population_S).
Number_Sample must be => 0 and <= Number_Population.
Population_S must be => 0 and <= Number_Population.
Number_Population must be => 0.
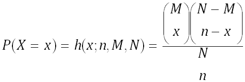
The equation for the hypergeometric distribution is:

where:
x = Sample_S
n = Number_Sample
M = Population_S
N = Number_Population
HYPGEOMDIST is used in sampling without replacement from a finite population.
Example:
A sampler of chocolates contains 20 pieces. Eight pieces are caramels, and the remaining 12 are nuts. If a person selects 4 pieces at random, the following function returns the probability that exactly 1 piece is a caramel.
HYPGEOMDIST(1,4,8,20) = 0.363261
© 1992-2013. ReliaSoft Corporation. ALL RIGHTS RESERVED.