![]()
| Related Topics: | ||
Description: Returns the gamma distribution. You can use this function to study variables that may have a skewed distribution.
Syntax: GAMMADIST(x, Alpha, Beta, Cumulative)
x is the value at which you want to evaluate the distribution.
Alpha is a parameter to the distribution.
Beta is a parameter to the distribution. If Beta = 1, GAMMADIST returns the standard gamma distribution.
Cumulative is a logical value that determines the form of the function. If Cumulative is TRUE, GAMMADIST returns the cumulative distribution function; if FALSE, it returns the probability mass function.
Remarks:
x, alpha and beta must be numeric.
x must be >= 0.
Alpha and Beta must be > 0.
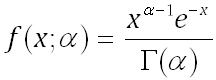
The equation for the gamma distribution is:

The standard gamma distribution is:

When Alpha = 1, GAMMADIST returns the exponential distribution with:

For a positive integer n, when Alpha = n/2, Beta = 2, and Cumulative = TRUE, GAMMADIST returns (1 - CHIDIST(x)) with n degrees of freedom.
When Alpha is a positive integer, GAMMADIST is also known as the Erlang distribution.
Example:
GAMMADIST(10,9,2,FALSE) = 0.032639
GAMMADIST(10,9,2,TRUE) = 0.068094
© 1992-2013. ReliaSoft Corporation. ALL RIGHTS RESERVED.