![]()
| Related Topics: | ||
Description: Returns the hyperbolic cosine of a number.
Syntax: COSH(Number)
Number is any real number for which you want to find the hyperbolic cosine.
Remarks:
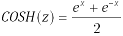
The formula for the hyperbolic cosine is:

Example:
COSH(4) = 27.30823 [the hyperbolic cosine of 4]
© 1992-2013. ReliaSoft Corporation. ALL RIGHTS RESERVED.